Thứ bảy, 22/11/2025, 15:37 (GMT+7)
Trong các hệ thống hỗ trợ lái và an toàn chủ động trên ô tô hiện đại, cảm biến đóng vai trò quan trọng trong việc thu thập dữ liệu từ môi trường xung quanh để ECU (Electronic Control Unit) đưa ra các quyết định điều khiển. Hai loại cảm biến được ứng dụng phổ biến là cảm biến siêu âm – dùng trong hỗ trợ đỗ xe, cảnh báo va chạm trước/sau; và cảm biến chiều cao – dùng trong hệ thống treo khí nén, đèn pha tự động cân bằng, hoặc kiểm soát tải trọng.
1. Cảm biến siêu âm (Ultrasonic Sensor)
.png)
Hình 1. Cảm biến siêu âm trên xe Altis 2008
* Chức năng: Cảm biến siêu âm được dùng trong hệ thống hỗ trợ đỗ xe. Nó làm nhiệm vụ đo khoảng cách giữa xe và các vật xung quanh xe khi xe lùi nhằm cảnh báo cho người lái biết về nguy cơ va chạm khi lùi xe
* Nguyên lý hoạt động
Cảm biến siêu âm hoạt động dựa trên nguyên lý phát – thu sóng âm tần số cao (thường từ 40 kHz trở lên), gồm:
- Bộ phát (Transmitter) tạo ra xung điện → chuyển đổi thành sóng âm.
- Sóng âm truyền trong không khí, gặp vật cản → phản xạ trở lại.
- Bộ thu (Receiver) nhận tín hiệu.
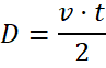
- ECU tính toán khoảng cách dựa trên thời gian truyền – phản hồi (time of flight) theo công thức:
.png)
Trong đó:
Cảm biến siêu âm được bố trí ở khu vực cản sau của xe, kiểm tra cảm biến là ta đo giá trị điện trở từ chân giắc của cảm biến.
.png)
Hình 2. Chân giắc đo kiểm của cảm biến siêu âm trên xe Toyota
Đo điện trở theo các giá trị trong bảng 1.
Bảng 1. Quy cách đo cảm biến siêu âm
Vị trí đo | Điều kiện | Giá trị tiêu chuẩn |
1 (BI) - 5 (EI) | Mọi điều kiện | 10 kΩ trở lên |
1 (BI) - 2 (BO) | Mọi điều kiện | 10 kΩ trở lên |
3 (SI) - 4 (SO) | Mọi điều kiện | Dưới 1 Ω |
5 (EI) - 6 (EO) | Mọi điều kiện | Dưới 1 Ω |
Nếu kết quả không như tiêu chuẩn, hãy thay thế cảm biến siêu âm.
2. Cảm biến chiều cao (Height Sensor / Level Sensor)
.png)
Hình 3. Cảm biến chiều cao trên xe Lexus LC 500 2017
* Chức năng: Cảm biến chiều cao dùng để:
- Xác định khoảng cách giữa thân xe và cầu xe.
- Điều khiển hệ thống treo khí nén / hệ thống treo chủ động (Air Suspension / AHC / EAS).
- Điều khiển đèn pha tự động cân bằng để tránh gây chói xe đối diện.
- Giám sát tải trọng trục.
* Nguyên lý hoạt động: Khi xe bị tải hoặc thay đổi địa hình làm cho khoảng cách giữa thân xe và cầu xe thay đổi. Lúc này cảm biến thay đổi điện áp tỉ lệ với góc quay. ECU treo (Suspension ECU) sử dụng tín hiệu này để:
- Bơm thêm khí nén → tăng chiều cao hoặc Xả khí → giảm chiều cao để duy trì độ cao thân xe ổn định.
* Kiểm tra cảm biến chiều cao
.png)
Hình 4. Chân giắc đo cảm biến chiều cao
*A | Đối với cảm biến bên trái | *B | Đối với cảm biến bên phải |
*b | Vị trí thấp | *d | Vị trí cao |
*c | Vị trí tiêu chuẩn 00 | *e | 30° |
*g | 8.7° | *f | 30° |
+ Mắc nối tiếp ba viên pin 1.5 V để tạo thành nguồn điện.
+ Cấp dương nguồn vào cực 3 (SHB), âm nguồn vào cực 1 (SHG) của cảm biến
+ Đo điện áp giữa hai cực 2 (SHFL, SHFR) và cực 1 (SHG) trong khi dịch chuyển chậm tay đòn của cảm biến lên xuống. Giá trị điện áp tiêu chuẩn theo bảng 2.
Bảng 2. Quy cách đo cảm biến chiều cao
Vị trí đo | Điều kiện | Giá trị tiêu chuẩn |
|---|---|---|
2(SHFL)/2SHFR - 1(SHG) | +30° (Vị trí cao) | 3.45 V |
0° (Vị trí tiêu chuẩn) | 2.25 V | |
-30° (Vị trí cao) | 1.05 V |
Như vậy, cảm biến siêu âm và cảm biến chiều cao đều giữ vai trò quan trọng trong hệ thống hỗ trợ lái và điều khiển thân xe hiện đại. Nếu như cảm biến siêu âm tập trung vào nhận diện chướng ngại vật cự ly gần nhằm đảm bảo an toàn khi xe chạy tốc độ thấp, thì cảm biến chiều cao lại liên quan trực tiếp đến mức độ ổn định thân xe, độ êm ái và khả năng điều khiển của hệ treo. Sự kết hợp của hai loại cảm biến này giúp hệ thống ô tô ngày càng thông minh, an toàn và tiện nghi hơn.